Università, al via oggi il primo appello d’esame per gli iscritti al semestre filtro di Medicina: quanti hanno aderito e quanti entreranno

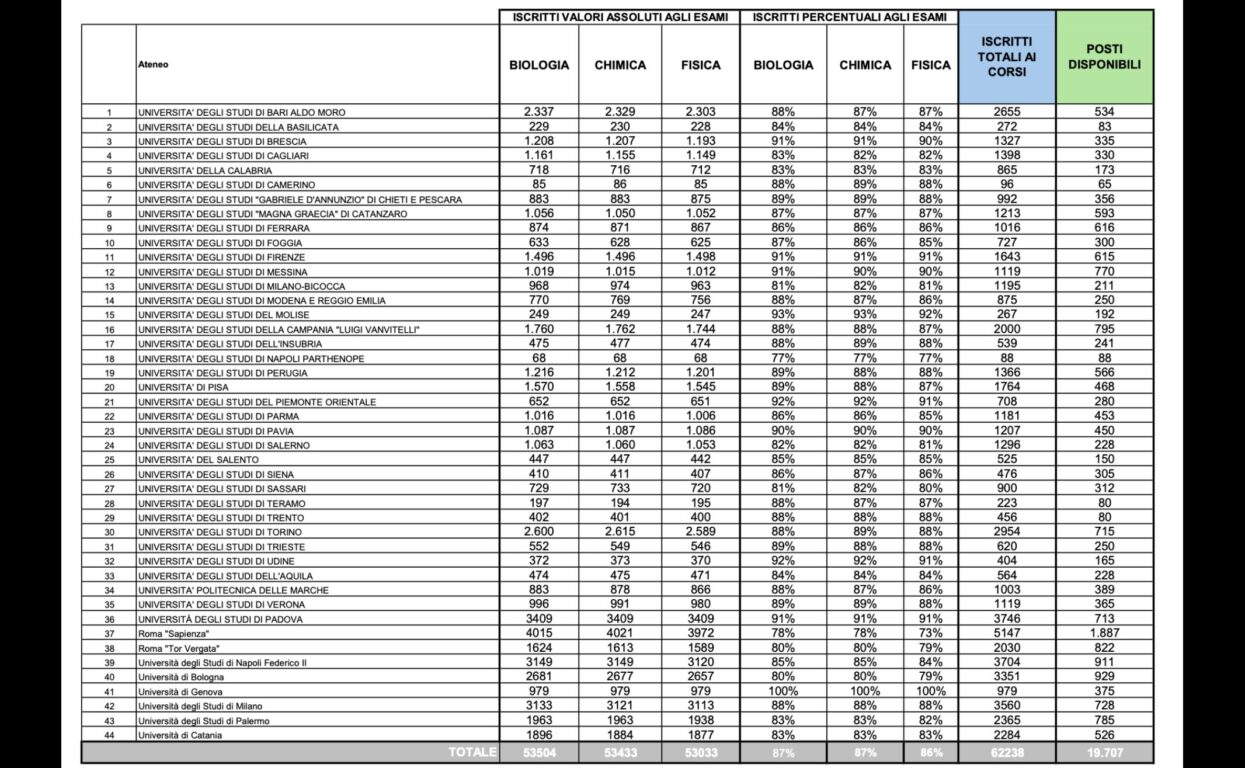
Parte oggi il primo appello degli esami del semestre filtro per Medicina, coinvolgendo in tutto 44 università. Per l’anno accademico 2025-202626, i posti disponibili nei corsi di laurea dell’area medica sono 19.707, ma considerando anche le università non statali e i corsi in lingua inglese il totale è di 27.175. Le adesioni agli esami sono state elevate, con una media nazionale dell’87% rispetto agli studenti iscritti alle lezioni del semestre filtro. Genova registra il tasso più alto di adesioni, pari al 100% in tutte e tre le prove. Nel dettaglio, 53.504 studenti si sono iscritti all’esame di Biologia (87%), 53.433 a Chimica (87%) e 53.003 a Fisica (86%). Tuttavia, solo circa un terzo di loro riuscirà a ottenere l’accesso ai corsi.

Gli esami: biologia, chimica, fisica
La prova comprende tre esami scritti della durata di 45 minuti ciascuno, che si stanno svolgendo in tutta Italia a partire dalle 11. Le materie coinvolte sono chimica e propedeutica biochimica, fisica e biologia. Ogni prova prevede 31 domande: 15 a risposta multipla con cinque opzioni (di cui solo una corretta) e 16 a completamento. Per accedere alla graduatoria nazionale, è necessario ottenere almeno 18/30 in ciascun esame. In altre parole, lo studente deve superare tutte e tre le prove. Il primo appello vede il coinvolgimento di 870 commissari d’esame e 1.076 responsabili d’aula, nominati dagli atenei per garantire lo svolgimento ordinato delle prove. A supporto del processo, 192 professionisti del Cineca sono incaricati di gestire gli aspetti tecnici, informatici e logistici.
Quando si terrà il secondo appello
Il secondo appello è previsto per il 10 dicembre e rappresenta un’opportunità per chi non ha sostenuto tutte e tre le prove o per chi non le ha superate. Anche in questo caso, per poter accedere alla graduatoria nazionale e proseguire il percorso nel secondo semestre, è necessario superare tutte e tre le prove con un punteggio minimo di 18/30.
Ti potrebbe interessare
- Aule piene, lezioni online, studenti divisi in gruppi. Così parte il semestre filtro di Medicina per riuscire ad accogliere i nuovi studenti
- Nascono come funghi i corsi a pagamento per superare il semestre filtro a Medicina. Ma attenzione alle garanzie ingannevoli. Replica degli organizzatori, la Bernini manda tutto all’Antitrust
- A Medicina 3mila posti in più: Tor Vergata raddoppia, Catania scende. Ecco i posti disponibili in ogni università
Gli studenti in protesta
Nel frattempo, alcuni studenti hanno organizzato proteste nel pomeriggio davanti alle sedi universitarie, come all’hotel Ergife di Roma, dove si svolge il test. «Le bugie della ministra Bernini sul numero chiuso a Medicina costringono migliaia di studenti alla competizione sfrenata, didattica scadente e diritto allo studio non garantito. In pochi entreranno a Medicina e tanti saranno esclusi dopo enormi sacrifici. Un giorno determinerà il futuro di migliaia di studenti in tutta Italia», denunciano gli studenti di Cambiare Rotta. Sulla stessa linea anche l’Unione degli Universitari, che segnala: «Il semestre filtro nuoce alla salute del sistema formativo e degli studenti. È un percorso che prometteva ampliamento, ma nella realtà porterà all’esclusione di sette candidati su dieci, dopo mesi di frequenze obbligatorie e procedure diverse da ateneo ad ateneo».
Ma la ministra non ci sta: «Chi ieri protestava contro i test d’ingresso a Medicina, oggi si scaglia contro il semestre aperto: un sistema che forma dentro le Università, non fuori, che moltiplica le opportunità e garantisce a tutti una base di partenza davvero uguale.Non sarà la solita minoranza rumorosa a disturbare l’esame di 55 mila ragazze e ragazzi che da mesi studiano con serietà e impegno per questo appuntamento», scrive sui social.
